產品列表
熱門新聞
聯系我們
電話:0510-88157528
傳真:0510-88157528
Q??Q:1472526133
何明:13812090868 18115358581
網址:www.njmcys.com
郵箱:sales@myhg1718.com
郵編:214128
地址:無錫市濱湖區胡埭鎮舜耕路33號
螺旋板式換熱器是一種換熱器設備,適用汽-汽、汽-液、液-液,對液傳熱。它適用于化學、石油、溶劑、醫藥、食品、輕工、紡織、冶金、軋鋼、焦化等行業。按結構形式可分為不可拆式(Ⅰ型)螺旋板式及可拆式(Ⅱ型、Ⅲ型)螺旋板式換熱器。
結構及性能:
1、本設備適用于:液-液,氣-氣,氣-液對流傳熱可用于蒸汽冷凝和液體蒸發傳熱,化工,石油,醫藥,機械,電力,輕工和紡織等工業部門均可選用。
2、本設備由兩張鋼板卷制而成,形成了兩個均勻的螺旋通道,兩種傳熱截止可進行全逆流流動,適用小溫差傳熱,便于回收低溫熱源并可準確地控制出口溫度。
3、在殼體上的接管是切向結構,局部阻力小,螺旋通道的曲率是均勻的,流體在設備內流動沒有大的換向,總的阻力小,因而可提高設計流速使之具備較高的傳熱能力。
4、螺旋通道的端面是焊接密封的,密封性能好,結構可靠。
5、不易檢修,尤其是內部板出現問題時極難修理,有些廠把設備兩端焊縫全部車掉,重新將板展平補焊后再卷制,這樣做消耗的工時太大,因選用螺旋板式換熱器防腐是重要的。
6、不能進行機械清洗,生產實踐證明,螺旋板換熱器與一般列管式換熱器相比是不容易堵塞的,尤其是泥沙、小貝殼等懸浮顆粒雜質不易在螺旋通道內沉積,分析其原因;一是因為它是單通道雜質在通道內的沉積一形成周轉的流還就會提高至把它沖掉,二事故因為螺旋通道內沒有死角,雜質容易被沖出。
7、因為螺旋通道內有定距柱支撐通道間距,甩以不得有纖維狀雜質(棉紗,草棍,樹葉等)進入換熱器內部。
8、嚴格控制冷卻水出口溫度在結垢溫度以下。
9、常用的清洗方法是用蒸汽吹凈或堿洗,蒸汽吹入要向接管,把雜質從設備內吹出,很多使用廠認為這是行之有效的方法。
可拆式(Ⅱ型、Ⅲ型)螺旋板式換熱器
結構原理與不可拆式換熱器基本相同,但其中通道可拆開清洗,兩端加封頭密封。特別適用有粘性、有沉淀液體的液與液交換,以及氣一液,蒸汽冷凝。由于可拆式換熱器需增添封頭、法蘭等部件,設備成本比不可拆式換熱器稍大。
基本參數:
螺旋板式換熱器的公稱壓力PN規定為0.6、1、1.6、2.5Mpa(即原6、10、16、25kg/cm2)(系指單通道隨的最大工作壓力)試驗壓力為工作壓力的1.25倍。
螺旋板式換熱器與介質接觸部分的材質,碳素鋼為Q235A、Q235AF,不銹鋼酸鋼為SUS321、SUS304。其它材質可根據用戶要求選定。
允許工作溫度:碳素鋼的t=0~+350℃,不銹鋼酸鋼的t=-40~500℃,升溫降壓范圍按壓力容器的有關規定。選用本設備時,應通過洽當的工藝計算,使設備通道內的流體達到湍流狀態。(一般液體流速1m/Sec氣體流速10m/Sec)。
單臺設備不能滿足使用要求,可以多臺組合使用,但組合時必須符合下列規定:
并聯組合,串聯組合:設備和通道間距相同。混合組合:一個通道并聯,一個通道串聯。
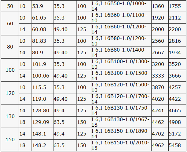
不銹耐酸鋼制PN0.6、1.6MPa不可拆式(Ⅰ型)螺旋板換熱器。






蘇公網安備 32021102000951號